ads
ads

معادلة الحب.. تخبرك كيف تلتقي شريك حياتك بواسطة الحساب

أصدرت عالمة رياضيات في جامعة لندن، تدعى هانا فراي، كتابا بعنوان "رياضات الحب" متحدثة فيه عن كيفية العثور على شريك الحياة المناسب بمساعدة الرياضيات، وقدمت نصائح تزيد من فرص نجاحك في العثور على الشريك المثالي.

يعتبر البعض أن اختيار شريك الحياة فرصة وربما يقعون في خطأ اختيار الشخص غير المناسب، إلا أن "فراي" افترضت قواعد لاختيار شريكك لتسهيل الأمر، وهم:

1- بمجرد أن تقرر أن تستقر، لا يمكنك أن تنظر فيما بعد في الشركاء الذين كانوا من الممكن أن يكونوا في قائمتك.

2- بمجرد رفضك شخصًا ما، لا يمكنك التراجع وتغيير رأيك في وقت لاحق.

وقالت "فراي" إن الرياضيات تقدم استراتيجية لإيجاد شريك الحياة تعرف بـ"نظرية التوقف الأمثل"، طبقًا لهذه النظرية، فإن عليك أن تقضي بعض الوقت في سن مبكرة لاختيار شركاء حياة محتملين، وتظل ترفض كل هؤلاء حتى تتكون لديك خبرة في كيفية الاختيار. بعد مرور هذه المرحلة، فإن عليك اختيار أول شخص تقابله ويكون أفضل ممن مررت بهم من قبل.

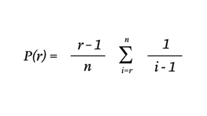
تبين نظرية التوقف الأمثل احتمالية توقفك واستقرارك مع الشخص الأفضل (P)، بناء على عدد الشركاء المحتملين (n) الذين ترفضهم (r) باستخدام الصيغة الرياضية التالية:

يمكن لهذه المعادلة الرياضية أن تخبرك عدد الأشخاص الذين يجب عليك رفضهم لتحصل على أفضل فرصة للحصول على الشريك الأمثل. تقول الكاتبة إنك إذا كنت ستقابل عشرين شخصًا في حياتك، فإن الاحتمال الأعلى لتجد الشريك الأمثل يتحقق عندما ترفض أول ثمانية شركاء محتملين، وسيكون احتمال إيجاد الشريك الأمثل حينها 38.42%. وإذا كان مقدرًا لك أن تقابل عددًا لا نهائيًا من الشركاء المحتملين، فإن عليك أن ترفض أول 37 % منهم، وحينها سيتخطى احتمال عثورك على الشريك الأمثل واحدًا لكل ثلاثة.وأضافت "فراي" إذا لم تتبع هذه الاستراتيجية وقررت أن تختار شريكك بشخص عشوائي، فإن احتمال عثورك على الشريك المثالي سيكون (1/n) فقط. على سبيل المثال، إذا ما كان مقدرًا لك أن تقابل 20 شريكًا محتملًا طوال حياتك، فإن الاحتمال سيكون خمسة بالمئة فقط، ولكن باتباع هذه الاستراتيجية يمكن أن تزداد فرصك إلى 38.42 بالمئة.توجد نسخة ثانية من هذه الاستراتيجية أكثر واقعية، وتعطي نتائج مذهلة كذلك. تتطلب هذه الاستراتيجية منك فقط معرفة المدة التي ستقضيها في البحث عن شريك حياتك. في هذه الحالة فإن نسبة 37% تنطبق على الوقت بدلًا من عدد الأشخاص.على سبيل المثال، إذا بدأت البحث عن شريك حياتك وأنت في الخامسة عشرة، وتخطط للاستقرار في عامك الأربعين، فإنك يجب عليك رفض كل الشركاء المحتملين في أول 37% من هذه الفترة – أي بعد إتمامك عامك الرابع والعشرين -، وستكون هذه الفترة بمثابة خبرة لك للفترة التي تليها. على الرغم من أن اتّباع هذه الاستراتيجية سيجعلك تحصل على فرصة أفضل في العثور على شريكك المثالي، فإن هذه الاستراتيجية أيضًا لها عيوب.تخيل أنك خلال فترة الـ37 بالمئة وجدت شريك حياتك المثالي، لن تعلم أكان هو الأفضل بين قائمة شركائك المحتملين أم لا، وربما تضطر لتركه. تخيل أنك استمررتَ في الرفض طوال فترة الـ37 بالمئة، ثم كان أول شخص في الفترة التالية أفضل قليلًا من سابقيه لكنه لا يزال غير مناسب. وفقًا للرياضيات فأنت مضطر للزواج منه، بالرغم من أنه لا يحقق طموحاتك.على سبيل المثال، قد تكون سعيدًا إذا حصلت على شريك من بين أفضل 5% إلى 15% من شركائك المحتملين بدلًا من الاستمرار في الرفض بحثًا عن الشريك الأمثل. تقدّم الرياضيات نموذجًا لذلك يسمّى بمحاكاة مونت كارلو. والفكرة وراء استخدام محاكاة مونت كارلو لاختيار شريكك، هي تطبيق مجموعة من الخوارزميات التي تسمح لك بمحاكاة فترات مختلفة من عمرك مع ظهور عدد من الشركاء المحتملين بشكل عشوائي، وعلى مستويات مختلفة من التوافق. يمكن للبرنامج أن يعطيك النتائج المحتملة لكل فترة مع تغيير فترة الرفض، ومن خلاله يمكنك استنتاج ما إذا كانت الاستراتيجية ناجحة أم لا.على سبيل المثال، إذا قمت بتكرار هذه المحاكاة باستخدام فترات رفض مختلفة مع كل واحد من معايير النجاح – الشريك الأفضل فقط، أو شريك بين أفضل 5%، أو شريك بين أفضل 15% – فإنك ستحصل على الرسم البياني التالي:

يمثل الخط الأحمر المشكلة الأساسية التي تم شرحها آنفًا، ويتضح من الرسم أن أفضل النتائج تأتي مع فترة رفض 37% مثلما تنبأت الرياضيات.لكن إذا وضعنا معايير أسهل، مثل العثور على شريك من بين أفضل 5% من شركاء الحياة المحتملين، كما هو موضح بالخط الأصفر، فإن أفضل فرصة للنجاح تأتي إذا كانت فترة الرفض 22% من إجمالي فترة البحث. باستخدام هذه الاستراتيجية، ستكون احتمالية حصولك على الشريك المثالي 57%.أما إذا أردت العثور على شريك من بين أفضل 15% من شركاء الحياة المحتملين، كما هو موضّح بالخط الأزرق، فإن فترة الاستكشاف والرفض ستستمر 19% فقط من فترة البحث الإجمالية. بالإضافة إلى ذلك، فإن احتمالية نجاح هذه الاستراتيجية تصل إلى 78% وهي نسبة آمنة بشكل كبير.

إقرأ أيضاً
WhatsApp
Telegram
إقرأ أيضاً